-
2022MBA考研真題答案及解析-MBA數學真題解析(雄松華章文字版)
-
【雄松華章訊】雄松華章MBA官網特邀名師,第一時間搶先發布2022年管理類聯考各科目真題及答案解析。考完試當天,考生可以微信搜索【MBA估分】小程序,進行在線對答案,預測是否能上線!當晚華章名師直播真題解析,數學/邏輯/英語/寫作全科講解,答案更準,估分更靠譜。

一、問題求解:第1-15 小題,每小題 3 分,共 45 分。下列每題給出的 A 、 B 、 C 、 D 、 E 五個選項中,只有一項是符合試題要求的。
1、施工隊施工3天,因故停工2天,提速20%,還能按原計劃完成工作,則原計劃工作( )天
A、9天
B、10天
C、12天
D、15天
E、18天
2、利潤率為12%,成本變為80%時,利潤率為多少?
A、32%
B、35%
C、40%
D、45%
E、48%
3、x/y為實數,f(x, y)=x2-4xy+5y2-2y+2,則最小值為( )
A、1
B、1/2
C、2
D、3/2
E、3
4、

A、

B、

C、

D、

E、

5、

A、8/15
B、7/15
C、3/5
D、2/5
E、2/3

6、

A、9/2
B、7/2
C、

D、

E、

7、有8個杯子,杯口向上,的每次翻轉3個杯子,最少幾次可以將所有的杯子杯口向下?
A、3
B、4
C、5
D、6
E、8
8、甲乙丙丁三個部門,若甲部門26人去丙部門以后則丙的人數為甲的人數的6倍;若乙部門5人去丙部門,則乙丙部門人數相等;則甲乙部門人數差除5以后余數是( )
A、0
B、1
C、2
D、3
E、4
9、直角三角形ABC ,C是直角,D是AB邊中點,以AD為直徑做圓交AC于E,若三角形ABC面積是8,則三角形ADE面積為( )
A、1
B、2
C、3
D、4
E、6
10、已知自然數的各位數字均為105的質因數,且每個質因數最多出現一次則這樣的質因數有()個
A、6
B、9
C、12
D、15
E、27

11、甲和乙的單價和為1.4元,200個甲玩具和150個乙玩具為250元,則甲的單價為()
A、0.5元
B、0.6元
C、0.7元
D、0.8元
E、0.9元
12、甲乙足球隊的比分為4:2,乙從來沒有領先過,則進球順序有( )種
A、6
B、8
C、9
D、10
E、12
13、4個男生和2個女生站成一排,則女生既不在兩邊也不相鄰的概率為( )
A、1/2
B、5/12
C、3/8
D、1/3
E、1/5
14、AB兩地相距208km,甲、乙從A出發,丙從B出發,相向而行,甲速度60km/h,乙速度80km/h,丙速度90km/h,則( )分鐘以后,甲丙距離和乙丙距離相等
A、70
B、75
C、78
D、80
E、86
15、4個顏色涂5塊區域,則共有( )種涂法

A、12
B、24
C、32
D、48
E、96

二、條件充分性判斷
16、

A、條件( 1 )充分,但條件( 2 )不充分
B、條件( 2 )充分,但條件( 1 )不充分
C、條件( 1 )和條( 2 )單獨都不充分,但條件( 1 )和條件( 2 )聯合起來充分
D、條件( 1 )充分,條件( 2 )也充分
E、條件( 1 )和條件( 2 )單獨都不充分,條件( 1 )和條件( 2 )聯合起來也不充分
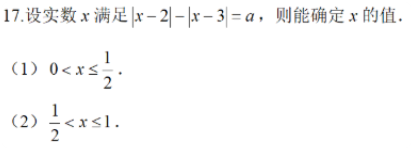
17、

A、條件( 1 )充分,但條件( 2 )不充分
B、條件( 2 )充分,但條件( 1 )不充分
C、條件( 1 )和條( 2 )單獨都不充分,但條件( 1 )和條件( 2 )聯合起來充分
D、條件( 1 )充分,條件( 2 )也充分
E、條件( 1 )和條件( 2 )單獨都不充分,條件( 1 )和條件( 2 )聯合起來也不充分
18、兩個人數不等的班數學測試的平均分不相等,則能確定人數多的班
(1) 已知兩個半的平均分(2) 已知兩個半的總平均分
A、條件( 1 )充分,但條件( 2 )不充分
B、條件( 2 )充分,但條件( 1 )不充分
C、條件( 1 )和條( 2 )單獨都不充分,但條件( 1 )和條件( 2 )聯合起來充分
D、條件( 1 )充分,條件( 2 )也充分
E、條件( 1 )和條件( 2 )單獨都不充分,條件( 1 )和條件( 2 )聯合起來也不充分
19、在△ABC中,D為BC邊上的點,BD、AB、BC成等比數列,則∠BAC=90°
(1)BD=DC(2) AD⊥BC
A、條件( 1 )充分,但條件( 2 )不充分
B、條件( 2 )充分,但條件( 1 )不充分
C、條件( 1 )和條( 2 )單獨都不充分,但條件( 1 )和條件( 2 )聯合起來充分
D、條件( 1 )充分,條件( 2 )也充分
E、條件( 1 )和條件( 2 )單獨都不充分,條件( 1 )和條件( 2 )聯合起來也不充分

20、將75名學生分為25組,每組3人,則能確定女生人數
(1) 已知全男的組合全女的組
(2) 只有1男的組合只有1女的組相等
A、條件( 1 )充分,但條件( 2 )不充分
B、條件( 2 )充分,但條件( 1 )不充分
C、條件( 1 )和條( 2 )單獨都不充分,但條件( 1 )和條件( 2 )聯合起來充分
D、條件( 1 )充分,條件( 2 )也充分
E、條件( 1 )和條件( 2 )單獨都不充分,條件( 1 )和條件( 2 )聯合起來也不充分
21、某直角三角形的三邊長a,b,c成等比,則能確定公比的值
(1) a是直角邊長
(2) c是斜邊長

A、條件( 1 )充分,但條件( 2 )不充分
B、條件( 2 )充分,但條件( 1 )不充分
C、條件( 1 )和條( 2 )單獨都不充分,但條件( 1 )和條件( 2 )聯合起來充分
D、條件( 1 )充分,條件( 2 )也充分
E、條件( 1 )和條件( 2 )單獨都不充分,條件( 1 )和條件( 2 )聯合起來也不充分
22、

A、條件( 1 )充分,但條件( 2 )不充分
B、條件( 2 )充分,但條件( 1 )不充分
C、條件( 1 )和條( 2 )單獨都不充分,但條件( 1 )和條件( 2 )聯合起來充分
D、條件( 1 )充分,條件( 2 )也充分
E、條件( 1 )和條件( 2 )單獨都不充分,條件( 1 )和條件( 2 )聯合起來也不充分
23、

A、條件( 1 )充分,但條件( 2 )不充分
B、條件( 2 )充分,但條件( 1 )不充分
C、條件( 1 )和條( 2 )單獨都不充分,但條件( 1 )和條件( 2 )聯合起來充分
D、條件( 1 )充分,條件( 2 )也充分
E、條件( 1 )和條件( 2 )單獨都不充分,條件( 1 )和條件( 2 )聯合起來也不充分

24、

A、條件( 1 )充分,但條件( 2 )不充分
B、條件( 2 )充分,但條件( 1 )不充分
C、條件( 1 )和條( 2 )單獨都不充分,但條件( 1 )和條件( 2 )聯合起來充分
D、條件( 1 )充分,條件( 2 )也充分
E、條件( 1 )和條件( 2 )單獨都不充分,條件( 1 )和條件( 2 )聯合起來也不充分
25、

A、條件( 1 )充分,但條件( 2 )不充分
B、條件( 2 )充分,但條件( 1 )不充分
C、條件( 1 )和條( 2 )單獨都不充分,但條件( 1 )和條件( 2 )聯合起來充分
D、條件( 1 )充分,條件( 2 )也充分
E、條件( 1 )和條件( 2 )單獨都不充分,條件( 1 )和條件( 2 )聯合起來也不充分
相關閱讀:
2022MBA考研真題答案及解析-MBA英語二真題解析(雄松華章文字版)
2022MBA考研真題答案及解析-管理類綜合真題解析(雄松華章文字版)
2022MBA考研真題答案及解析-MBA邏輯真題解析(雄松華章文字版)
2022MBA考研真題答案及解析-MBA寫作真題解析(雄松華章文字版)

-
推薦閱讀您可能感興趣的課程


